Jump to content
EUROPAS GROßE
SPORTWAGEN COMMUNITY

328 GTS Ladekontrollleuchte geht nicht aus....


Wolfgang328

Empfohlene Beiträge

Geschrieben

Hallo zusammen,

 

jetzt zum Saisonstart April wollte ich meinen 328 GTS von 1986 wieder in Betrieb nehmen. Zuvor hatte ich die Batterie nochmal voll aufgeladen. Der Motor sprang sofort ohne Probleme nach der langen Pause wieder an. Aber die Ladekontrolleuchte blieb an. Auch wenn man etwas Gas gegeben hat blieb sie an. Mir ist aufgefallen das sie beim Gas geben sehr gering dunkler wurde aber nicht aus ging. Der Keilrimen der die Lichtmaschine antreibt ist in Ordnung und auch richtig gespannt. Die Riemenscheibe auf der Lichtmachine ist nicht lose. Ich habe die Batterieanschlüsse noch mal auf einwandfreie Funktion und Sitz gecheckt. Zudem habe ich mit einem Multimeter die Batteriespannung überrüft. Bei Zündung aus und Motor läuft nicht ungefähr 12,3 Volt, also soweit ok. Motor starten Batteriespannung geringfügig weniger, ungefähr 12,1 Volt, beim Gas geben Batteriespannung auch ungefähr 12,1 Volt. Ladekontrolleuchte bleibt jetzt mit gleicher Helligkeit an. Also die Lichtmaschine lädt tatsächlich nicht die Batterie und funktioniert somit nicht. Muß ich jetzt davon ausgehen das die Lichtmaschine defekt ist oder ist vielleicht nur der Laderegler der Lichtmaschine defekt. Gibt es sonst noch eine mögliche Fehlerursache? Gibt es für die Funktionstüchtigkeit der Lichtmaschine noch eine Sicherung oder ein Relais? Hat jemand vielleicht noch eine Idee oder kann mir gegebenenfalls weiter helfen? Soweit mir bekannt ist handelt es sich um eine Bosch Lichtmaschine. Kennt jemand den Typ oder Nummer der Lichtmaschine bzw. von dem Regler? Danke für alle Informationen im Voraus.

 

Schönes Wochenende,

 

Wolfgang

Jetzt registrieren, um Themenwerbung zu deaktivieren »
Geschrieben

Hallo Wolfgang,

eine Möglichkeit sind abgenutzte Kohlebürsten der Lichtmaschine. Das habe ich an einem 308 bereits zwei mal gehabt.

Gruß

Paul

Hallo Wolfgang,

hatte nur die Kohlebürsten getauscht, das letzte Mal 2003. Erinnere mich nicht mehr so richtig dran, ob die im Regler integriert sind wie üblich. Dann wäre das einfachste, den Regler zu tauschen.

308_Generator1.thumb.JPG.ee39d1e1879ac2b

Normalerweise kündigen sich die Bürsten vorher an, z.B. drehzahlabhängiges An/Aus der Generatorlampe. Dann immer an.

Gruß

Paul

Geschrieben

Nach der Winterpause ist Fehlerursache Nummer eins

die Batterie oder lose Anschlüsse an dieser (das fällt aber weg, da du einwandfrei starten kannst)

 

dann geht es weiter mit korrodierten Kontakten,

Wackelkontakt in den Kabeln,

Marderschaden usw.

 

Ich würde an Deiner Stelle erst einmal alle Kabel hin- und weg von der Lima prüfen, und vor allem das Massekabel auch nicht vergessen!

Dann erst die Lima selbst und den Regler (ausbauen und zum Bosch Dienst z.B.)

 

Eine Sicherung gibt es in dem Ladekabel Lima zur Batterie nicht, da fließen auch zu hohe Ströme. Such mal das rote dicke Kabel abgehend von der Lima Richtung Batterie----

Apropo, war die Batterie ausgebaut? Eventuell vergessen, das Ladekabel mit zu befestigen? Ist bei einigen Fahrzeugen separat an der Klemme befestigt!

Geschrieben

Hallo zusammen,

 

Danke für die Infos! Ich werde den Infos nachgehen und mich dann wieder melden. Kennt jemand den Reglertyp, technische Daten oder Teilenummer von Bosch von der Lichtmaschine?

 

Wünsche allen schöne Ausfahrten.

 

Freundliche Grüße,

 

Wolfgang

Geschrieben
Am 3.4.2016 at 13:17 schrieb Wolfgang328:

beim Gas geben Batteriespannung auch ungefähr 12,1 Volt. Ladekontrolleuchte bleibt jetzt mit gleicher Helligkeit an. Also die Lichtmaschine lädt tatsächlich nicht die Batterie und funktioniert somit nicht. Muß ich jetzt davon ausgehen das die Lichtmaschine defekt ist oder ist vielleicht nur der Laderegler der Lichtmaschine defekt.

 

beides ist bei der beschriebenen Symptomatik möglich

kontrolliere auch nochmal den Riemen

 

Am 3.4.2016 at 13:17 schrieb Wolfgang328:

Gibt es für die Funktionstüchtigkeit der Lichtmaschine noch eine Sicherung oder ein Relais?

 

nein

 

Am 3.4.2016 at 13:17 schrieb Wolfgang328:

Kennt jemand den Typ oder Nummer der Lichtmaschine bzw. von dem Regler?

 

Lichtmaschine:

 

Bosch Teile-Nr.  0120469641

Ferrari Teile-Nr. 121761

 

derzeit bei eurospares 430.- Pfund gebraucht

neu 1080.- Pfund (aber nicht lieferbar)

http://www.eurospares.co.uk/parts/ferrari/328-1988/brakes-wheels/electric-generating-system-38958/121761

 

oder aktuell in Frankreich, EUR 136.-  :wink:

http://www.ebay.de/itm/Alternateur-neuf-alt0206-remplace-Bosch-0120469641-/260927196594?hash=item3cc0790db2:g:qOsAAOSw8-tWV60Z

 

noch besser: einfach bei Bosch überholen lassen !

 

 

Spannungsregler, Lichtmaschinenregler;

 

Bosch Teile-Nr.  1197311023

Ferrari Teile-Nr. 121840

 

derzeit bei eurospares, 107 Pfund

 

oder alternativ für EUR 22,90 bei Beru :wink:

http://www.ebay.de/itm/BERU-GENERATORREGLER-GER005-fur-BOSCH-Lichtmaschine-14-1-V-Mercedes-Benz-Opel-/381573111725?hash=item58d7879fad:g:0zwAAOSwNSxU7ZEQ

 

 

oder auch für EUR 14,95 bei Hüco

http://www.ebay.de/itm/REGLER-FUR-LICHTMASCHINE-BOSCH-0120469-0120489-MADE-IN-GERMANY-14VOLT-/121721189568?hash=item1c5725f4c0:g:MAEAAOSwjVVVv6~D

 

 

tja, ... bei den Preisen staunt der Laie und der Fachmann wundert sich X-)

 

und weil es gerade passt:

 

Riemen

Gates 11M925

Dayco 10A0813C

 

 

edit:

den Spannungsregler kannst Du mit etwas Mühe wechseln ohne die Lichtmaschine auszubauen - dieser sitzt "hinten" auf der Maschine drauf - dazu den orangen Belüftungschlauch samt Halterung abbauen und dann auf der Bühne von unten hinter der Lichtmaschine Hand anlegen -

kleine Hände - oder der Zugriff auf letztere - wären hilfreich 8-)

 

 

 

Gruß aus MUC

Michael

 

Geschrieben
vor 2 Stunden schrieb me308:

Lichtmaschine:

 

Bosch Teile-Nr.  0120469641

Ferrari Teile-Nr. 121761

...aktuell in Frankreich, EUR 136.-  :wink:

http://www.ebay.de/itm/Alternateur-neuf-alt0206-remplace-Bosch-0120469641-/260927196594?hash=item3cc0790db2:g:qOsAAOSw8-tWV60Z

tja, ... bei den Preisen staunt der Laie und der Fachmann wundert sich X-)

noch besser: einfach bei Bosch überholen lassen !

die "china-lima"  gibts auch hier für 134€ die haben aber auch ne "made in germany" für 260 €.ich hab aktuell eine 90A lima solcher herkunft in meinem passat(55€ inkl.versand!!).sie lädt,aber irgendwie nicht so wie die alte...liegt meist bei 13,7...knapp 14 volt und unter hoher last geht sie in die knie.mit nem originalen bosch regler geht sie sogar noch weiter runter,hab aber bisher (ca.1 jahr) keinerlei start-oder sonstige probleme.

(ist wohl den bauteiltoleranzen bzw.deren qualität geschuldet)

 

wie empfohlen...ab zu BOSCH oder halt DIY ..die teile gibts günstig z.b. im lima-shop bei bosch generatoren dieser bauert sind meist einfach die kohlen am regler verschlissen und dabei auch oft die schleifringe grenzwertig oder deutlich eingelaufen...siehe bilder

5702dd30bfd7e_Regleraltvs.neu2.thumb.jpg

der linke stammt aus einem fahrzeug mit 400000km ,ich meine aber der wurde bei ca.250000km schonmal gewechselt...ursache halt auch die eingelaufenen schleifringe

5702dd2cc5bbd_Kollektoreingelaufen2.thum

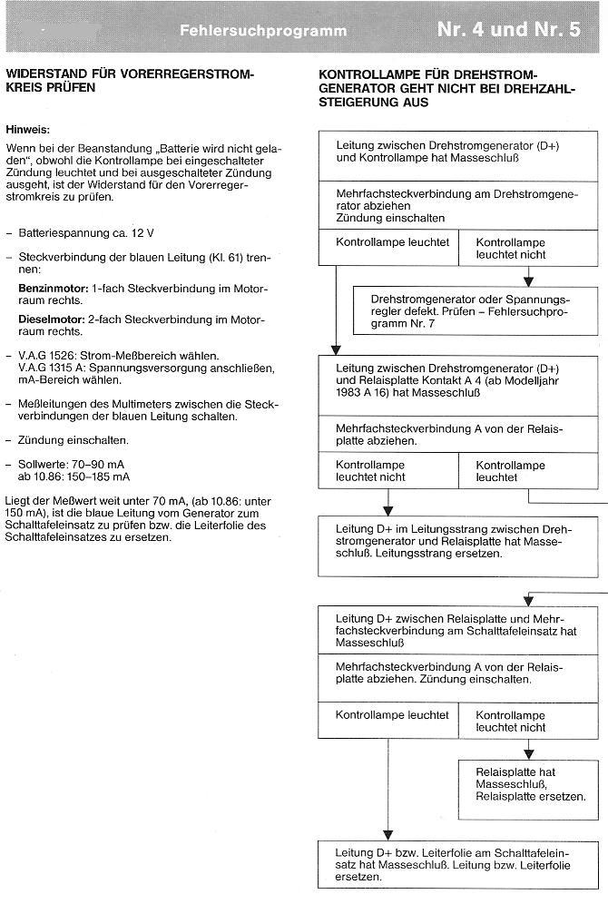
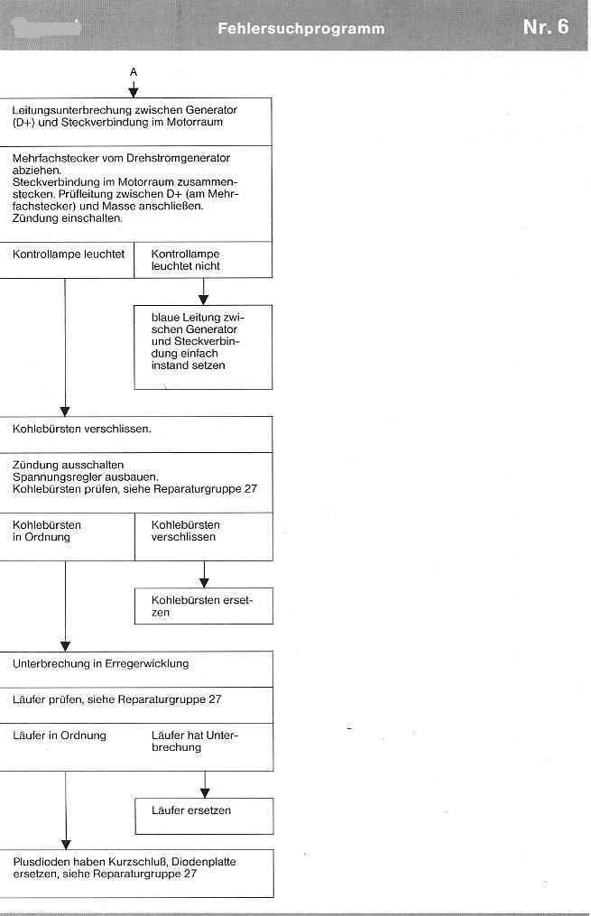
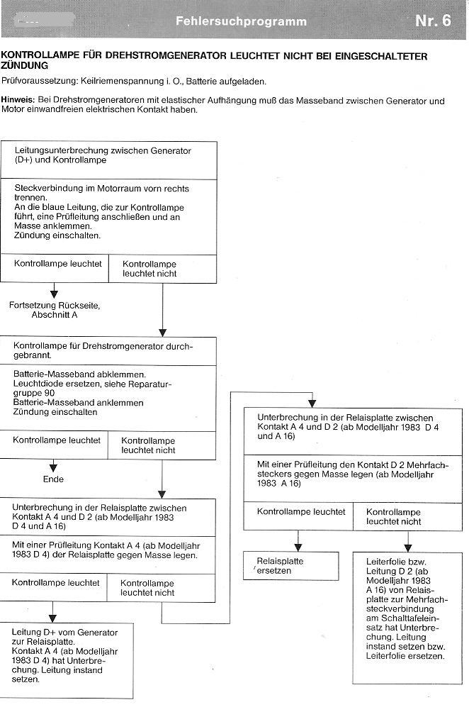
hier noch ne anleitung zur generatorprüfung...das messgerät ist eigentlich nur ein multimeter mit stromversorgung über die autobatterie und ner strommesszange

5702ddeb8dbb8_GeneratorundSpannungsregle

5702ddee8fcab_Generatorkontrolleuchtegeh

5702ddf158995_Generatorkontrolleuchteleu

5702ddf3541d9_Generatorkontrolleuchteleu

 

  • 3 Wochen später...
Geschrieben

Hallo zusammen,

 

nochmals vielen Dank für die vielen Hinweise und die Unterstützung. Der 328 ist wieder ok. Der Laderegler allein war es nicht. Ich bin der Empfehlung nachgegangen und habe die Lichtmaschine überholen lassen da noch mehr daran defekt war. Der Kollektor war abgelaufen und mußte erneuert werden. Bei der Überholung ist die Lichtmachine gestrahlt und lackiert worden, alles entölt, neuer Kollektor, neue Lager, passender neuer Regler weil die Kohlen/Kontakte total abgenutzt waren, Lichtmachine wurde gecheckt usw., Preis 190,- Euro. Ich denke das dies auch der sinnvollste Weg ist. Es handelt sich ja um eine Bosch Lichtmaschine mit gängigen Bauteilen, kein Exot oder dergleichen.

 

Ich wünsche allen eine Gute Fahrt und ein schönes Wochenende.

 

Mt freundlcihen Grüßen

Wofgang

Geschrieben

Danke für`s feedback :wink:

 

Gute Fahrt !

 

 

 

Gruß aus MUC

Michael 

Archiviert

Dieses Thema ist archiviert und für weitere Antworten gesperrt. Erstelle doch dein eigenes Thema im passenden Forum.


×
×
  • Neu erstellen...