Jump to content
EUROPAS GROßE
SPORTWAGEN COMMUNITY

Diablo Alternatorregler und Kondensator


paul01

Empfohlene Beiträge

Geschrieben

ich bezog mich auf jaramas beitrag !

vor 54 Minuten schrieb Jarama:

Oder an ein anderes Batterie + Terminal, sofern vorhanden.

 

Jetzt registrieren, um Themenwerbung zu deaktivieren »
  • Antworten 94
  • Erstellt
  • Letzte Antwort
Geschrieben

Stimmt, ich war doof/verwirrt! :D

 

B und D sind nahezu gleich aussehende Buchstaben, also können die Anschlüsse bestimmt auch vertauscht werden X-)

 

P.S.: Aber das ist auch eine Testmöglichkeit, nämlich D+ direkt an einen Pluspol anzuschließen, egal ob 15 oder 30 oder B+. Dann müßte die Spannung nach dem Start immer gleich hoch gehen,wenn Lima/Regler in Ordnung sind. M.E. kann man damit nichts kaputt machen. Zeitweise hatte ich im Espada eine praktisch baugleiche Bosch Lima von Ford eingebaut, die hatte im Gegensatz zur Originallima einen internen (elektronischen) Regler. Um die Kiste unkompliziert erstmal zum Laufen zu bekommen (TÜV etc.) habe ich D+ an B+ gelegt und das hat problemlos funktioniert. Nur die Leuchte war dadurch halt nicht funktionell, aber der Espada hat ja auch noch ein Amperemeter :).

 

Die Originallima ist inzwischen überholt (von Bosch). Besser nicht fragen, was das gekostet hat und wie lange das dauerte :D.

Geschrieben

und das hat dir bei standzeit nicht die Batterie leergesaugt ?

im hiesigen fall, der gerade irgendwie ausartet,sollte man ja evtl erstmal über eine löschanlage mit gekoppelter Trennung der hauptstromversorgung nachdenken...:D

Geschrieben

Nein, weil ich einen ferngesteuerten Batteriehauptschalter im Espada habe, der immer nach dem Parken aus gemacht wird.

 

Man darf dann (und sowieso) nur nicht auf die Idee kommen, den Hauptschalter zu betätigen, bevor der Motor still steht :D. Sonst ist die Lima schnell gekillt.

 

Zu Testzwecken kann das aber auch ohne Hauptschalter mal probiert werden. Wenns dann nämlich wieder merkwürdige Effekte gibt, ists klar die Lima oder der Regler und die Reparatur ist dann ganz einfach (beides neu und fettich).

Geschrieben

Lustige Diskussion.

Da fällt mir noch ein! also gute Diskussion.:-))!

 

Die Erregerspannung geht ja über das liebe, nette Glühbirnchen....da war was mit Spannungsteiler, nech!

 

Anderes Glühbirnchen = andere Erregerspannung!

Niedrige Spannung = niedrige Erregung! (und daran hapert es ja wohl).

 

Direkt 12 Volt auf die Lima = maximale Erregung = muss immer harten Strom geben! :P

Wenn das dann einwandfrei funzt, einfach mal das Glühbirnchen auswechseln gegen eines mit -

hmmmm - überleg- mehr Watt, oder?

Dickerer Draht = weniger Spannungsabfall = mehr an der Lima!

 

Richtig gedacht?

Geschrieben
vor 1 Minute schrieb Kai360:

Richtig gedacht?

Jedenfalls nicht abwegig :P;)

Geschrieben
vor einer Stunde schrieb Kai360:

Richtig gedacht?

jepp!...wenn man dann heutige Autos sieht welche dir ne defekte standlichtleuchte melden die aber noch leuchtet jedoch Spannungsabfall produziert klingts eigentlich logisch

Geschrieben

Hallo,

vor 1 Stunde schrieb Kai360:

Niedrige Spannung = niedrige Erregung

genau genommen: Niedriger Strom in den Spulen = niedrige Erregung

 

Stromstärke erhöhen durch geringeren Widerstand ist denkbar. Z.B durch einen Parallelwiderstand an der Leuchte. 

Aber zu hoher Strom auf den Erregerkreis kann sicher beschädigen. Das probiere ich besser nicht durch Kurzschließen der Lampe, auch wenn bei normalem Lauf also "Generator lädt" dieser Strom wiederum durch den Regler bestimmt wird (unter einem Ampere). 

Denke nicht, dass der Erregerkreis auf mehrere Ampere ausgelegt ist.

 

"Richtig gedacht?" Prinzipiell ja.

 

Achtet drauf, dass sich keiner als guter Elektriker outet, Grund siehe ganz weit oben.

 

Gruß

Paul

Geschrieben
vor 29 Minuten schrieb paul01:

Aber zu hoher Strom auf den Erregerkreis kann sicher beschädigen.

Meine Vermutung war, experimentell bestätigt, dass bei direkter Schaltung von D+ an +12V zwar ein bissl höherer, aber nicht zu hoher Strom fließt. Beim Espada hats jedenfalls mehrere Tausend km ohne Qualmwölkchen funktioniert. Vermuteter Grund: Weil eben der Regler regelt :P

 

Jetzt ists wieder "oridginool" mit elektromechanischem externem Regler und leuchtender Leuchte ... B)

 

P.S.: Die zeitweise "Ersatzlima" war Bosch reconditioned für nen Opel und kostete unter 100,-- im Teilehandel, da kann man mal solche Experimente machen ... :D

 

Geschrieben

Werde wohl den Angsthasen machen und erstmal an/in der Lichtmaschine gucken. Da ist dann schon mal von einigen Vorschlägen was dabei. Auch wenn es dann keine wirklich neuen Bilder gibt.

Eine Angel aus Kai´s Fischereizubehörladen ist nicht der nächste Schritt.

Anzeige eBay
Geschrieben
Geschrieben

Hallo paul01,

 

schau doch mal hier zum Thema Zubehör für Lamborghini Diablo (Anzeige)? Eventuell gibt es dort etwas Passendes.

  • Gefällt Carpassion.com 1
Jetzt registrieren, um Themenwerbung zu deaktivieren »
Geschrieben

Ich habe hier ja nun sicher am wenigsten Ahnung, aber ich kann mir nicht vorstellen, dass ein Glühbirnchen von einem Ingenieur zur Regelung der Stromversorgung für der Erregerstrom der Lima genutzt werden würde. Und ausserdem, was würde denn passieren, wenn das Glühbirnchen durchgebrannt ist? Keine Erregerspannung mehr?  :D 

 

Ich tippe nach wie vor auf den Laderegler, aber Paul, kannst Du nicht einfach mal eine andere Lima einsetzen und schauen wie es sich dann verhält? Oder ist das so ein spezielles Teil bei dem Wagen?

 

PS.: Auch eine Betriebstemperatur kann Einfluss haben. Beispiel: Ich hatte mal eine PC bei mir im Keller, der lief im Dauerbetrieb tadellos. Irgendwann habe ich den mal runtergefahren um etwas auszubauen das ich brauchte, bin dann gemütlich frühstücken gegangen. Als ich wiederkam war der PC kalt und kam nicht mehr über den Bios Selbsttest, denn dann drehten die Lüfter kurze Zeit testweise auf voller Leistung. Ausgebaut hatte ich übrigens nur eine ungenutzte Halterung zur Aufnahme einer Festplatte.  

 

Was war passiert? Der PC ist kalt geworden.

Nach dem Aufwärmen des Motherboard und Netzteil mit dem Haarfön startete er wieder durch. Ich habe trotzdem ein paar Tage danach ein Image gezogen und der PC dann auf dem Server virtualisiert. :D 

 

Geschrieben
vor 25 Minuten schrieb Thorsten0815:

aber ich kann mir nicht vorstellen, dass ein Glühbirnchen von einem Ingenieur zur Regelung der Stromversorgung für der Erregerstrom der Lima genutzt werden würde.

 

doch :wink:

 

der Strom fließt von Zündungsplus Klemme 15 über die Ladekontrollleuchte durch die Alternator-/Generatorwicklung gegen Masse Klemme 31 und ist durch die Leuchte (ca. 4 W) auf etwa 300 mA begrenzt, ohne Leuchte könnten bis zu 5 A fließen !

 

vor 25 Minuten schrieb Thorsten0815:

Und ausserdem, was würde denn passieren, wenn das Glühbirnchen durchgebrannt ist? Keine Erregerspannung mehr?

 

genau :wink:

 

es kann keine Fremderregung im Stand stattfinden - selbst bei funktionierender Lima

(gleiches gilt übrigens auch wenn die Batterie komplett tiefentladen/defekt oder gar nicht vorhanden wäre - deshalb startet ein solchermaßen betroffenes Fahrzeug auch nicht durch anschieben)

 

 

 

Gruß aus MUC

Michael

 

Geschrieben
vor 43 Minuten schrieb Thorsten0815:

Und ausserdem, was würde denn passieren, wenn das Glühbirnchen durchgebrannt ist? Keine Erregerspannung mehr?  :D

 

Auch wenn Du es nicht fassen magst, aber bei der klassischen und elektronikfreien Schaltung ist das wirklich so. Wenn man Zündung anmacht, die Leuchte dann nicht leuchtet, weil durchgebrannt, dann läd die Lima beim Fahren nicht mangels anfänglichem Erregerstrom aus der Batterie. Und irgendwann ist im Fahrbetrieb die Batterie alle und man bleibt stehen. Es sei dann man hat das Glück, dass der Restmagnetismus des Rotors gerade noch ausreicht, um das Ganze auch ohne anfänglichem Erregerstrom aus der Batterie ins Laufen zu bringen.

 

Also zumindest bei den alten Kisten immer darauf achten,dass die Ladekontrolleuchte bei Zündung an auch leuchtet.

Geschrieben
vor einer Stunde schrieb Thorsten0815:

Und ausserdem, was würde denn passieren, wenn das Glühbirnchen durchgebrannt ist? Keine Erregerspannung mehr?  :D 

 

Korrekt! Unterbrochene Stromversorgung = keine Erregerspannung mehr. (ist ja eine simple Reihenschaltung).

Macht aber nichts bei den meisten alten Schlurren, ein kräftiger Gasstoß und die Lima liefert!

 

Ergo = No Problem = Angeln gehn! :-))!

 

Oh ich seh grad, das hätte ich mir sparen können - erst alle Posts zu lesen wäre auch manchmal hilfreich! ;)

Geschrieben
vor 5 Minuten schrieb Kai360:

Angeln gehn! :-))!

So langsam schließe ich mich Pauls Eindruck an, dass Du hier Guerillamarketing für Angelzubehör betreibst :P:D;).

Fischstäbchen ist die einzige von mir akzeptierte Zubereitungsform von Fisch!:P:D

Geschrieben

Herrlich, ein Glühbirnchen im Anzeigeinstrument kann durchbrennen und dann fährt der Wagen nur noch bis zum Tod der Batterie. Sachen gibt's.... ich hoffe mal, dass ist bei den modernen Autos besser gelöst. O:-) 

Geschrieben

Thorsten genau anders herum ist es.

Bei der alten Schlurre trittst du beherzt aufs Gaspedal, die Lima springt an, und gut ist.

Oder falls das nichts nützt setzt du flugs ein neues Birnchen ein, und wenn du auch dazu keine Lust hast gibst du der Lima mit einem Stückchen fliegendem Draht "Fremderregung".

 

Bei der neuen Schlurre gehen tausend LED`s und Klartextfehlermeldungen (die aber niemand versteh) an,
die Schlurre verweigert daraufhin komplett Ihren Dienst,

meldet das aber als neuestes Kundenfeature Online an die Werkstatt,

der Mechaniker kommt automatisch (steht ganz ganz kleingedruckt im Kaufverag, als kostenpflichtiger zugebuchter Kundenservice),

sagt oh, oh, oh, das wird teuer,

wobei jedes Oh für mindestens 100,- Euro steht,

muss abgeschleppt werden (die ersten 200,- Euro sind weg),

...

Besser? Sicher?

Siehste der Paul macht einfach nichts und geht Angeln!
Er kann da sogar hinfahren mit seiner Schlurre, die fährt und lädt ja...

Nur muss er dann eine Telekopangel kaufen, was größeres geht in den Diablo nicht rein!

(Ah, ich sollte noch einen Onlineshop für Angelzubehör eröffnen! Wurde mir angetragen 8-))

Geschrieben

Fischstäbchen, Angeln, PC Virtualisierung..euch darf man nicht alleine lassen.

 

Habe gerade ein wenig gebastelt und melde mich mit Bildern, sobald die Gedanken ein wenig sortiert sind.

Geschrieben

Hallo,

 

Vorhaben war zunächst die Leitung D+ finden. War dann doch nicht so schwer. Sie geht wenige Zentimeter nach dem Abtauchen in den Kabelbaum auch gleich wieder raus, nur ein wenig hinter den Kühlwasserrohren und Gestänge versteckt. Geht also nicht mit in Richtung linke Seite (blau), sondern ins V (rot).

Lam_Generator7.thumb.JPG.bda8eed70f507acbe13fe9c9d1c295d9.JPG

 

Da ist auch ein Steckverbindung in der D+ Leitung neben der Steckverbindung des Klimakompressors. Jetzt weiß auch endlich, was die macht.

Lam_Generator6.thumb.JPG.86a2e2fd3fda325207319e261f35f409.JPG

 

Am Generator habe ich nur die Steckverbindung gereinigt.

 

Dann "Zündung ein" und wieder wie bei den letzten Versuchen keine brennende Ladekontrollleuchte, was ja gut ist als Ausgangspunkt. 

 

Dann Spannung gemessen an D+ im Bild oben gegen Masse und zunächst nichts. Das ist also vermeintlich von Zündschloss und der Ladekontrollleuchte kommend. 

 

Verkürzt: Nach einiger Zeit und wieder Messen 10.9 V konstant. Das insgesamt 3 Mal. Beim 3. Mal war nach 7 Minuten Spannung da und dann auch nach dem Zusammenstecken immer auch brennende Leuchte.

 

Eine Stromstärke habe ich bisher nicht messen können in der D+ Leitung. Motor auch nicht gestartet.

 

Eine Sache muss also vor dieser Steckverbindung sein, also auf der Zündschloss/Ladekontrollleuchtenseite.

 

Gruß

Paul

Geschrieben
vor 14 Minuten schrieb paul01:

Dann "Zündung ein" und wieder wie bei den letzten Versuchen keine brennende Ladekontrollleuchte, was ja gut ist als Ausgangspunkt. 

Ganz naive Frage: Wird bei "Zündung ein" nicht ein Test gemacht, ob alle Glühbirnchen funktionieren und dann erst die "Lima lädt Kontrollfunktion" geschaltet?

Geschrieben
vor 3 Stunden schrieb paul01:

... "Zündung ein" und wieder wie bei den letzten Versuchen keine brennende Ladekontrollleuchte, was ja gut ist als Ausgangspunkt.

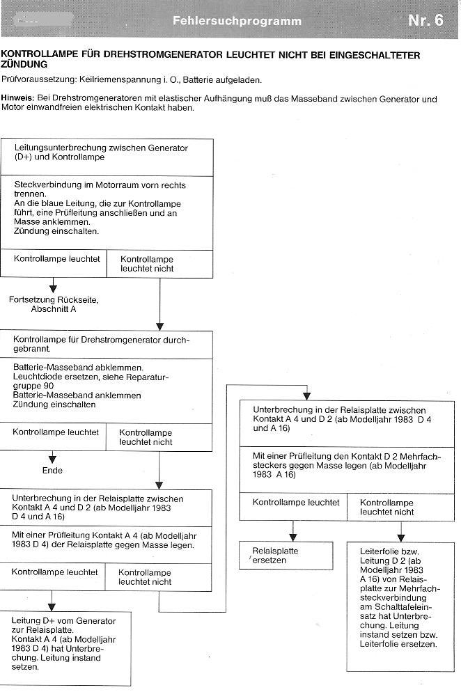
prüfprogramm 6

Am 22.4.2017 um 19:05 schrieb planktom:

58fb8cd33b0f4_Generatorkontrolleuchteleuchtetnicht1.thumb.jpg.88fcd862dd2759f2ae21ca6d83bcf69c.jpg

 

 

Geschrieben
vor 13 Stunden schrieb Thorsten0815:

Ganz naive Frage: Wird bei "Zündung ein" nicht ein Test gemacht, ob alle Glühbirnchen funktionieren und dann erst die "Lima lädt Kontrollfunktion" geschaltet?

Thorsten, du lebst in der Welt der elektronischen Autos, hier reden wir über eine Diabolische Schlurre!

Da findet der von Dir genannte Test auch statt, aber sehr individuell und ohne Klartextanzeige,

eben in dem Ding zwischen den Ohren!

 

Das berühmt, berüchtigte Lämpchen bekommt Plus + über Klemme 15 (Zündschlüssel rum) Strom, der sollte nun ungehindert weiterfließen über diverse Käbelchen und Steckerchen um schlußendlich in der Lima Masse - zu bekommen,

und fitz,

Lämpchen entschließt sich zu leuchten!

 

Zündschlüssel weiter rum,

Motor start,

Lima nimmt Fahrt auf, 

fühlt sich (fremd-) erregt (wer hat nur diesen Begriff erfunden :P),

da will wer etwas von mir,

entscheidet sich dem Wunsch nachzukommen,

nimmt die Stromproduktion auf!

 

Und nun geschieht etwas sehr erstaunliches,

Masse - wird urplötzlich zu Plus +,

der Strom wird ganz tüddelig, weiß nicht mehr wie rum er fließen sollte,

entscheidungslos,

das Lämpchen erkennt das,

pöh ich spiel nicht mehr mit, wenn ihr euch denn nicht entscheiden könnt,

und geht so mir nichts, dir nichts, einfach aus.

(Und genau dieser Vorgang ist an sich der einzige Zweck dieses Lämpchens!

Lampe aus = Gut!)

 

Und Thorsten, dieser ganze höchst komplizierte Vorgang findet statt ganz ohne Elektronik, App, Smartphone, Computer,

Internet.

Ist das nicht geil, ja, unglaublich, aber wahr!:P

 

An Paul: Du bist auf dem richtigen Weg, es ist ein wackliger, das Lämpchen, Korrosion, auf jeden Fall auf dem Weg zur Lima.

Du hast dich aber lange nicht gemeldet, warst du Angeln? 8-)

 

Paul, hast du mal die Spannung gemessen, wenn die Lima lädt?

So zwischen 13 V (absolutes Minimum 12,5 V) und 14,7 Volt? Dann ist die vollkommen i.O. Laderegler alles prima, dann ist der Fehler eindeutig in der Erregerstromzuleitung zu suchen!

 

 

 

Geschrieben
vor 19 Minuten schrieb Kai360:

Und nun geschieht etwas sehr erstaunliches,

Masse - wird urplötzlich zu Plus +,

der Strom wird ganz tüddelig, weiß nicht mehr wie rum er fließen sollte,

entscheidungslos,

Schuld an dem erstaunlichen Vorgang sind Hilfsdioden. Wegen denen der Strom ganz und gar nicht tüddelig wird, sondern - gleichsam einer Domina hörig - nur so fließt, wie er soll, ohne jegliche Widerworte :P

Geschrieben

Hallo,

 

Tom, deine Prüfprogramme sind hilfreich und hatte ich gelesen. Für mich wichtiger ist das erste in deinem ersten Beitrag dazu (unten Fall 2). Wobei ich nicht weiß, ob die Stromstärke dann vergleichbar sein muss.

 

Fasse mal ein wenig die Fälle und Problemstellung zusammen, da diese nicht ganz trivial und nicht einfach wiederholbar ist:

 

1. Meistens in den letzten Jahren alles normal:

"Zündung ein" -> Leuchte brennt, Batteriespannung (ca. 12.5 V), "Motor ein"  -> Leuchte aus, sofort Ladespannung (ca. 14 V)

 

2. Vor Ende 2015 und dieses Jahr mehrmals:

"Zündung ein" -> Leuchte brennt, Batteriespannung (ca. 12.5 V), "Motor ein"  -> Leuchte aus, Ladespannung (ca. 14 V) verzögert nach überschreiten von ca. 2300 U/min

 

3. Nur 2017 selten, aber aktuell einige Male:

"Zündung ein" -> Leuchte aus, Batteriespannung (ca. 12.5 V), "Motor ein"  -> Leuchte aus, Ladespannung (ca. 14 V) verzögert nach überschreiten von ca. 2300 U/min

 

Die aktuell mehrmals nicht brennende Leuchte und an D+ minutenlang keine Spannung (Fall 3) würde ich auf die Historie gesehen nicht überbewerten. Der Fall 2 oben ist der seltsame.

Korrosion an Steckverbindung im Cockpit sind nahezu ausgeschlossen. Habe da Bilder vom letzten Jahr.

 

Gruß

Paul

 

Geschrieben
vor 12 Minuten schrieb paul01:

1.  sofort Ladespannung (ca. 14 V)

 

2. Ladespannung (ca. 14 V) verzögert nach überschreiten von ca. 2300 U/min

 

3.  Ladespannung (ca. 14 V) verzögert nach überschreiten von ca. 2300 U/min

 

 

Ich habe mir mal erlaubt etwas zu komprimieren aufs Wesentliche! ;)

 

1. kein Problem

2. no problem

3. pas de problème

 

Geh Angeln! (ich merke gerade ich tendiere zu Wiederholungen - schlimm? ) :P8-):P

Bin trotzdem gespannt wie das ausgeht!

 

 

Archiviert

Dieses Thema ist archiviert und für weitere Antworten gesperrt. Erstelle doch dein eigenes Thema im passenden Forum.


×
×
  • Neu erstellen...